中医痛风专病
痛风在中医当中会包括不同的类型,比如肝肾阴虚型、脾肾气虚型、气阴两虚型、风湿热痹型、风寒湿痹型,不同的类型选择的治疗方法是不同的,一般会选择归芍地黄汤、保元汤、参芪地黄汤、桂枝芍药知母汤等,同时要注意日常饮食护理。
一共21篇文章
专病专治:第4期
-
用中药调理痛风一周期或一段时间,有的人尿酸不降反升,是没有效果吗?
只要是发作过痛风,事实上关节处已经有痛风石了,只不过大与小而已。 这一点可以从痛风的定义上来证实。 只有当血液中尿酸浓度过高,结晶并沉积于关节,引起炎症时才会痛,才叫痛风 这个结晶沉积下来的东西,事实上就是痛风石。 并不是很多人所想像的只有很明显的鼓起来,影响关节活动才叫痛风石。 为什么中药调理痛风,用完一个月后,会出现有的人尿酸下降,有的人尿酸不但没降反而升高的现像呢? 事实上这是中药调理痛风很…... 医易和
- 178
- 0
-
第十一期畲族医学痛风特色诊疗技术培训暨义诊体验活动
为进一步提升我院痛风特色治疗技术水平,满足广大痛风患者的就诊需求,7月9日至11日,我院特邀中国民族医药文化研究院院长、北京中和亚健康科学研究院畲族医学研究所所长、畲医痛风特色诊疗技术第八代传承人、北京欣颐健康管理有限公司首席技术官邱文卿教授,到我院开展畲族医学痛风特色治疗技术培训及坐诊活动,活动取得圆满成功。 7月9日,我院举办了第十一期畲族医学痛风特色诊疗技术培训会,黄永华院长、…... 医易和
- 145
- 0
-
第二届畲族医学痛风特色诊疗技术论坛在深圳市成功举办
本次活动由中和亚健康服务中心联合世界中医药学会联合会亚健康专业委员会、中华中医药学会亚健康分会、中华中医药学会治未病分会、中国中医药研究促进会治未病与亚健康分会共同举办,北京欣颐健康管理有限公司、北京市中和亚健康科学研究院畲族医学研究所具体承办。 在世界中医药学会联合会亚健康专业委员会2018年学术年会上午主论坛,北京欣颐健康管理有限公司总经理颜变霁女士代表本次大会承办单位致辞,并分享畲医痛风特色…... 医易和
- 132
- 0
-
中医治未病特色诊疗技术异彩纷呈,火爆长沙!
此次培训以突出发挥中医药在治未病中的主导作用、在治疗重大疾病中的协同作用、以及在疾病康复过程中的核心作用,更好的服务于中医药人才培训和继续教育工作,满足地方医疗机构治未病工作的开展为核心,与来自全国近200余名医务工作者、健康产业从业人员等就中医治未病特色诊疗技术进行了探讨与交流。会上,各种中医治未病特色诊疗技术异彩纷呈,原定100人的培训班来了近200人,可谓火爆长沙! 中华中医药学会治未病分会…... 医易和
- 147
- 0
-
首期痛风特色诊疗技术培训班成功举办
活动皆在积极落实国家中医药管理局构建中医预防保健服务体系相关文件精神,突出发挥中医药、民族医药在治未病中的主导作用,更好的服务于中医药以及医护人才培训和继续教育工作,满足地方有关健康机构治未病工作的开展。 出席本次活动的嘉宾有国家中医药管理局机关服务局原局长、中和亚健康服务中心创会主任孙涛教授,中国亚健康产业总部基地运营管理中心主任、中华中医药学会治未病分会副主任委员朱嵘研究员,健康报、腾讯新闻、…... 医易和
- 273
- 0
-
尿酸排泄的第三条通道——一个鲜为人知的医学发现
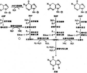
人体内的尿酸主要有两个来源,分别为内源性和外源性。其内源性的尿酸来源于体内小分子化合物的合成或核酸分解;外源性尿酸来源于人体摄入食物的分解。正常情况下,血循环中99%以上的尿酸以尿酸盐形式存在,在较窄的范围内波动。任何原因引起的尿酸生成增多或排泄减少,都会引起血尿酸水平升高。 体内嘌呤核苷酸的合成与分解主要是在肝脏、小肠及肾中进行,正常生理情况下是处于相对的平衡状态,所以尿酸的生成与排泄也相对恒定…... 医易和
- 594
- 0
-
化酸理论——痛风领域一个具有划时代意义的理论突破
漫步书店,痛风专柜琳琅满目的各种与痛风相关的书籍,基本上都是教大家怎样从饮食方面调理痛风及高尿酸血症,似乎只要在饮食方面注意了,人类就可以远离痛风和高尿酸血症的困扰。不容置疑的是,高尿酸血症确实与日常饮食习惯关系密切,但是,造成尿酸代谢异常的原因是多方面的,饮食仅仅是其中的一个方面。这就说明了,有些人吃海鲜吃火锅喝啤酒却没有痛风,血尿酸完全正常;有些人平时十分注意饮食调控,却得高尿酸血症或痛风发作…... 医易和
- 121
- 0























